Skriftlig eksamen
Skriftlig eksamen starter 17. november og siste dag er 28. november. Oppmøte på eksamensdag er innen kl. 08:30 på eksamensrommet som du finner på privatistportalen eller ved å se på oversikten under.

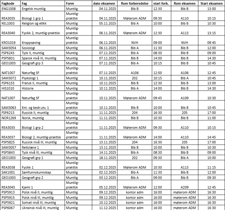
Muntlig/muntlig-praktisk eksamen
Perioden for gjennomføring av muntlig og muntlig-praktisk eksamen er satt til 03. november til 15. desember. Du må følge med i privatistportalen for når du skal ha eksamen. Alle parti skal nå være klare. Det er viktig at du går inn og sjekker tidspunkt. Oversikten ligger også her:

Dersom du blir forhindret fra å møte opp på eksamensdagen
Hvis du ikke kan møte på eksamensdagen må du melde fra på e-post til Inger Pauline Fossland eller sms til 47346664. Hvis du er elev ved videregående skole kan du også sende en melding på Teams til Inger Pauline Fossland for å gi beskjed om fravær ved eksamen. Dersom du er syk og ønsker å bli oppmeldt gratis ved neste eksamensperiode, må legeerklæring leveres innen 3 dager, gjerne på e-post til inger.pauline.fossland@mrfylke.no.
Hvis du ikke møter av andre grunner? Gi Inger beskjed så snart du vet du ikke kommer til å møte opp. Spesielt viktig for muntlig og muntlig-praktisk, slik at sensor vet om det kommer noen eller ikke.
Teknisk forberedelse til eksamen
Her finner du god informasjon om hva du må tenke på når du skal bruke pc eller mac på skriftlig eksamen. Nettbrett er ikke å anbefale til eksamen. Det er viktig at du leser over det som står på forhånd og sjekker at utstyret du har med på eksamen fungerer som det skal. Du må også ha mulighet for å koble til en minnepenn.
Annen informasjon
På UDIR vil du finne mye informasjon som for eksempel
Bøker til fagene kan lånes på vårt skolebibliotek, det er bare å komme innom.
Du kan også ta med PC og få hjelp av IT-kontoret på skolen (rom 202) med oppdateringer og klargjøring til eksamen.
Husk å ta med legitimasjon med bilde på eksamensdagen!
Lykke til med forberedelsene og gjennomføring!